近日,Coastal Engineering期刊刊发了来自高清av 的最新研究成果“Modelling the impact of sediment composition on long-term estuarine morphodynamics”(泥沙组分对长周期河口动力地貌影响的数值模拟研究),该成果的第一作者为高清av 张长宽教授指导的博士生蒋春海,论文其他合作者包括高清av 周曾教授、罗锋副教授、韦以璋博士生、英国南安普顿大学Ian Townend院士和华东师范大学郭磊城研究员。
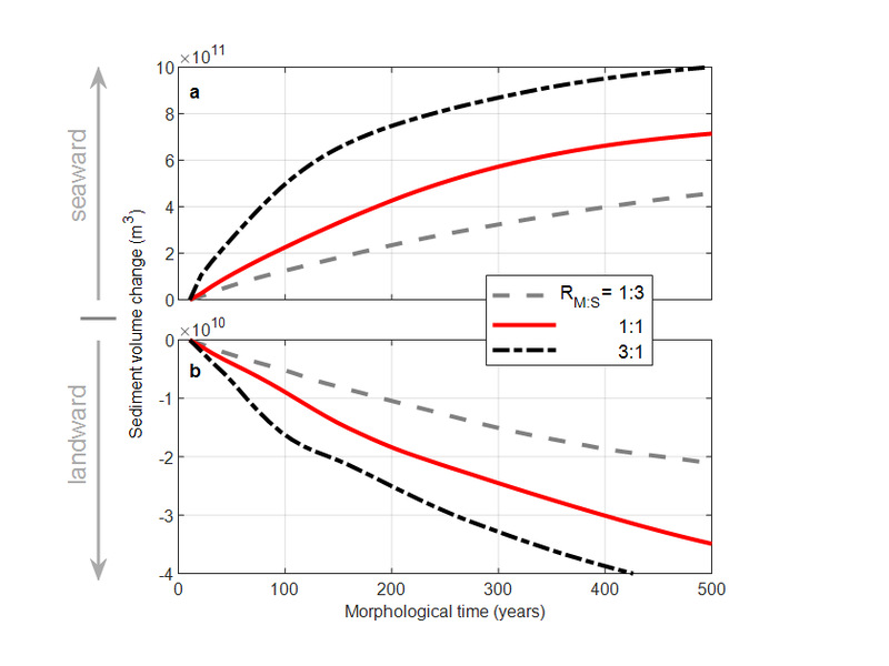
研究团队通过海岸动力地貌学数值模拟技术对泥沙组分对长周期、大尺度河口地貌演变及泥沙分布进行了深入研究。团队首先分析了全球多个河口的泥沙组分空间分布情况,发现泥沙组分与河口中长期地貌之间存在紧密联系。为了揭示两者的关系,论文以长江口为例建立了大尺度河口的二维概化模型(图1),通过对模型结果的分析发现粘性泥的加入对初始地貌演化的加速作用(图2),但地貌演化随时间的加速会逐渐变缓并倾向于达到某种平衡(图3),在地貌演变的过程中粘性泥更多的聚集在河口的口门附近,而非粘性沙在陆侧的占比显著增加,这与长江口现场观测的数据总体相吻合。论文针对泥沙组分对河口中长期地貌演化的影响进行了量化研究,加深了对河口泥沙输运和中长期地貌演变的机制认识,指出中长期河口地貌演变模拟需要对泥沙的组分进行更准确的表征,研究可为河口整治、航道工程等提供一定的科技支撑。

图1 模型尺度和初始地貌示意图。

图2 不同组分系统在300年后(a-e)和600年后(f-j)的形态演变(口门附近),RM:S代表泥沙比例。

图3 不同沉积物类型通过河口的累积沉积物体积运输:(a) 向陆地的沉积物运输(正值),以及 (b) 向海洋的沉积物运输(负值)。


